In this paper, we investigate cell-free massive MIMO (CF-mMIMO) systems in which access points (APs) are equipped with fluid antennas (FAs) and develop a comprehensive framework for channel estimation, antenna port selection, and uplink spectral efficiency (SE) optimization. We propose a generalized LMMSE-based uplink channel estimation scheme that dynamically activates FA ports during pilot transmission, efficiently exploiting antenna reconfigurability under practical training constraints. Building on this, we design a distributed port selection strategy that minimizes per-AP channel estimation error by exploiting spatial correlation among FA ports. We systematically analyze the impact of antenna geometry and spatial correlation using the Jakes' channel model for different AP array configurations, including uniform linear and planar arrays. We then derive SINR expressions for centralized and distributed uplink processing and obtain a closed-form uplink SE expression for centralized maximum-ratio combining using the use-and-then-forget bound. Finally, we propose an alternating-optimization framework to select FA port configurations that maximize the uplink sum SE. Numerical results show that the proposed FA-aware channel estimation and port optimization strategies greatly reduce channel estimation error and significantly improve sum-SE over fixed-antenna and non-optimized FA baselines, confirming FAs as a key enabler for scalable, adaptive CF-mMIMO networks.
Power allocation remains a fundamental challenge in wireless communication networks, particularly under dynamic user loads and large-scale deployments. While Transformerbased models have demonstrated strong performance, their computational cost scales poorly with the number of users. In this work, we propose a novel hybrid Tree-Transformer architecture that achieves scalable per-user power allocation. Our model compresses user features via a binary tree into a global root representation, applies a Transformer encoder solely to this root, and decodes per-user uplink and downlink powers through a shared decoder. This design achieves logarithmic depth and linear total complexity, enabling efficient inference across large and variable user sets without retraining or architectural changes. We evaluate our model on the max-min fairness problem in cellfree massive MIMO systems and demonstrate that it achieves near-optimal performance while significantly reducing inference time compared to full-attention baselines.
Optimal AP clustering and power allocation are critical in user-centric cell-free massive MIMO systems. Existing deep learning models lack flexibility to handle dynamic network configurations. Furthermore, many approaches overlook pilot contamination and suffer from high computational complexity. In this paper, we propose a lightweight transformer model that overcomes these limitations by jointly predicting AP clusters and powers solely from spatial coordinates of user devices and AP. Our model is architecture-agnostic to users load, handles both clustering and power allocation without channel estimation overhead, and eliminates pilot contamination by assigning users to AP within a pilot reuse constraint. We also incorporate a customized linear attention mechanism to capture user-AP interactions efficiently and enable linear scalability with respect to the number of users. Numerical results confirm the model's effectiveness in maximizing the minimum spectral efficiency and providing near-optimal performance while ensuring adaptability and scalability in dynamic scenarios.
In this paper, a reconfigurable intelligent surface (RIS) assisted cell free massive MIMO (CFmMIMO) framework is designed to enhance physical layer security (PLS) and mitigate multi user (MU) interference in next generation wireless networks. A channel state information (CSI) based precoder is designed at the access point (AP) to suppress MU interference, enabling interference free reception for the legitimate users. To further enhance secrecy performance, we formulate a joint optimization problem that maximizes the secrecy sum rate using an alternating optimization (AO) framework, which iteratively updates the active beamforming at the AP, user power allocation, and the RIS phase shift matrix. The highly nonconvex problem is addressed under the Riemannian manifold optimization (RMO) framework and solved using a Riemannian Conjugate Gradient (RCG) algorithm for RIS phase shift design. Simulation results verify that the proposed framework effectively enhances the secrecy sum rate and eliminates interference, demonstrating its potential for secure and scalable CFmMIMO networks in dense wireless environments.
With the explosive growth of data traffic and the ubiquitous connectivity of wireless devices, the energy demands of wireless networks have inevitably escalated. Reconfigurable intelligent surface (RIS) has emerged as a promising solution for 6G networks due to its energy efficiency (EE) and low cost, while cell-free massive multiple-input multiple-output (CF-mMIMO) was proposed as an innovative network architecture without fixed cell boundaries to enhance these measures even further. However, existing studies often assume consistently high traffic loads, neglecting the dynamic nature of user demand. This can result in underutilized access points (APs) and unnecessary energy expenditure during low-demand periods. To tackle the challenge of EE in CF-mMIMO systems during low load periods, this paper proposes a novel energy-efficient transmission scheme that jointly coordinates active APs and multiple passive RISs. Specifically, a dynamic AP sleep-mode strategy is designed, where certain APs are selectively deactivated while nearby RISs assist in maintaining coverage. We formulate the EE maximization objective as a fractional programming problem and adopt the Dinkelbach method in conjunction with alternating optimization (AO) to iteratively solve the three coupled subproblems: (i) AP selection via a hybrid branch-and-bound (BnB) and greedy algorithm, (ii) transmit power optimization using a sequential convex approximation (SCA) method, initialized by a heuristic zero-forcing strategy, and (iii) RIS phase shift optimization using gradient projection. Simulation results show that the proposed scheme achieves significantly higher EE than existing methods in both low and moderate user scenarios.




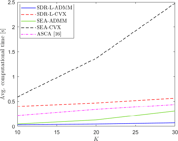
The growing demand for efficient delivery of common content to multiple user equipments (UEs) has motivated significant research in physical-layer multicasting. By exploiting the beamforming capabilities of massive MIMO, multicasting provides a spectrum-efficient solution that avoids unnecessary intra-group interference. A key challenge, however, is solving the max-min fair (MMF) and quality-of-service (QoS) multicast beamforming optimization problems, which are NP-hard due to the non-convex structure and the requirement for rank-1 solutions. Traditional approaches based on semidefinite relaxation (SDR) followed by randomization exhibit poor scalability with system size, while state-of-the-art successive convex approximation (SCA) methods only guarantee convergence to stationary points. In this paper, we propose an alternating direction method of multipliers (ADMM)-based framework for MMF and QoS multicast beamforming in cell-free massive MIMO networks. The algorithm leverages SDR but incorporates a novel iterative elimination strategy within the ADMM updates to efficiently obtain near-global optimal rank-1 beamforming solutions with reduced computational complexity compared to standard SDP solvers and randomization methods. Numerical evaluations demonstrate that the proposed ADMM-based procedure not only achieves superior spectral efficiency but also scales favorably with the number of antennas and UEs compared to state-of-the-art SCA-based algorithms, making it a practical tool for next-generation multicast systems.
This paper addresses the power control design for a cell-free massive MIMO (CF-mMIMO) system that performs integrated sensing and communications (ISAC). Specifically, the case where many access points are deployed to simultaneously communicate with mobile users and monitor the surrounding environment at the same time-frequency slot is considered. On top of the user-centric architecture used for the data services, a target-centric approach is introduced for the detection tasks. As a valuable performance metric, we derive the receive sensing signal-to-noise (SNR) ratio under generalized likelihood ratio test processing. Based on that, we formulate a quality-of-service (QoS) scheme that maximizes the two figures of merit: achievable data rate and effective sensing SNR. Simulations demonstrate that our proposal surpasses orthogonal resource algorithms, underscoring the potential of ISAC-enabled CF-mMIMO networks.
Cell-free massive multiple-input multiple-output (MIMO) is a key technology for next-generation wireless systems. The integration of cell-free massive MIMO within the open radio access network (O-RAN) architecture addresses the growing need for decentralized, scalable, and high-capacity networks that can support different use cases. Precoding is a crucial step in the operation of cell-free massive MIMO, where O-RUs steer their beams towards the intended users while mitigating interference to other users. Current precoding schemes for cell-free massive MIMO are either fully centralized or fully distributed. Centralized schemes are not scalable, whereas distributed schemes may lead to a high inter-O-RU interference. In this paper, we propose a distributed and scalable precoding framework for cell-free massive MIMO that uses limited information exchange among precoding agents to mitigate interference. We formulate an optimization problem for precoding that maximizes the aggregate throughput while guaranteeing the minimum data rate requirements of users. The formulated problem is nonconvex. We propose a multi-timescale framework that combines multi-agent deep reinforcement learning (DRL) with expert insights from an iterative algorithm to determine the precoding matrices efficiently. We conduct simulations and compare the proposed framework with the centralized precoding and distributed precoding methods for different numbers of O-RUs, users, and transmit antennas. The results show that the proposed framework achieves a higher aggregate throughput than the distributed regularized zero-forcing (D-RZF) scheme and the weighted minimum mean square error (WMMSE) algorithm. When compared with the centralized regularized zero-forcing (C-RZF) scheme, the proposed framework achieves similar aggregate throughput performance but with a lower signaling overhead.




The evolution of mobile networks towards user-centric cell-free distributed Massive MIMO configurations requires the development of novel signal processing techniques. More specifically, digital precoding algorithms have to be designed or adopted to enable distributed operation. Future deployments are expected to improve coexistence between cellular generations, and between mobile networks and incumbent services such as radar. In dense cell-free deployments, it might also not be possible to have full channel state information for all users at all antennas. To leverage location information in a dense deployment area, we suggest and investigate several algorithmic alterations on existing precoding methods, aimed at location-informed interference suppression, for usage in existing and emerging systems where user locations are known. The proposed algorithms are derived using a theoretical channel model and validated and numerically evaluated using an empirical dataset containing channel measurements from an indoor distributed Massive MIMO testbed. When dealing with measured CSI, the impact of the hardware, in addition to the location-based channel, needs to be compensated for. We propose a method to calibrate the hardware and achieve measurement-based evaluation of our location-based interference suppression algorithms. The results demonstrate that the proposed methods allow location-based interference suppression without explicit CSI knowledge at the transmitter, under certain realistic network conditions.




In the downlink of a cell-free massive multiple-input multiple-output (CF-mMIMO) system, spectral efficiency gains critically rely on joint coherent transmission, as all access points (APs) must align their transmitted signals in phase at the user equipment (UE). Achieving such phase alignment is technically challenging, as it requires tight synchronization among geographically distributed APs. In this paper, we address this issue by introducing a differential space-time block coding (DSTBC) approach that bypasses the need for AP phase synchronization. We first provide analytic bounds to the achievable spectral efficiency of CF-mMIMO with phase-unsynchronized APs. Then, we propose a DSTBC-based transmission scheme specifically tailored to CF-mMIMO, which operates without channel state information and does not require any form of phase synchronization among the APs. We derive a closed-form expression for the resulting signal-to-interference-plus-noise ratio (SINR), enabling quantitative comparisons among different DSTBC schemes. Numerical simulations confirm that phase misalignments can significantly impair system performance. In contrast, the proposed DSTBC scheme successfully mitigates these effects, achieving performance comparable to that of fully synchronized systems.